Introduction
Materials and Methods
공시재료
토양 유기물 분해 시험
미세플라스틱 회수율 시험
통계분석
Results and Discussion
유기물 분해 온도 조건에 따른 수용액 별 유기물 분해율
유기물 분해 토양의 온도 및 수용액 별 PS 회수율 변화
Conclusion
Introduction
플라스틱(plastic)은 열과 압력을 통해 쉽게 성형할 수 있는 합성 소재로, 비용이 저렴하고 제조가 편리하여 다양한 산업에서 선호된다. 특히, 농업부문에서는 멀칭 필름, 농약 용기, 비료 포장재 등 다양한 용도로 플라스틱이 활용되고 있다. 이러한 플라스틱의 높은 활용도 및 선호도로 인해 연간 플라스틱 생산량은 1950년(150만 톤)부터 급격하게 증가하여 2050년에 최대 8억 8,400만 톤에 이를 것으로 전망되고 있다(Dokl et al., 2024). 하지만, 플라스틱 생산량이 증가함에 따라 폐플라스틱 발생량도 함께 증가하고 있으며, 환경 중 노출된 플라스틱은 최대 1,000년 이상 남아있을 수 있어 이를 효과적으로 관리할 수 있는 대책이 필요하다(Chamas et al., 2020). 특히, 폐플라스틱은 생태계 내에서 분해되지 않고 잘게 쪼개지며, 이는 마이크로 혹은 나노 단위의 미세플라스틱(microplastic, MP)을 생성하는 원인으로 작용한다.
MP는 일반적으로 5 mm 이하의 크기를 갖는 플라스틱을 뜻하며, 배출원에 따라 1차 MP와 2차 MP로 구분할 수 있다(Koelmans et al., 2022). 1차 MP는 제조과정에서 작은 입자로 만들어진 플라스틱이며, 대표적으로 화장품, 치약 등에 사용된다. 반면, 2차 MP는 플라스틱이 마모 혹은 분해되면서 생성된 플라스틱으로, 환경 중에 존재하는 상당수의 MP 입자들이 2차 과정에 의해 생성된다(Do Sul and Costa, 2014; Koelmans et al., 2022). 최근 MP의 위해성 사례가 빈번하게 보고되면서 MP 추출과 관련된 연구가 각광받고 있으며, 특히 토양 중 MP 분리를 위해 정전기적 분리, 자기적 추출, 밀도분리(density separation) 등 다양한 방법이 제안되었다(Prata et al., 2019; Porterfield et al., 2023). 그중에서도, 미세플라스틱과 수용액의 밀도차를 이용한 밀도분리법은 별도의 장비를 이용하지 않아 많은 연구자들이 MP 분석을 위해 사용하는 방법이다(Porterfield et al., 2023). 그러나, MP 오염 토양에 밀도분리법을 적용한 선행연구에서는 토양 내에서 유기물 표면에 MP 입자가 결합하여 복합체를 형성함에 따라 MP 입자의 분리 효율이 떨어진다고 보고하였다(Ivanic et al., 2023). 이에 따라, 토양 중 MP 분리를 위해서는 토양 내 유기물을 효과적으로 제거하는 기술이 필요하다.
따라서, 본 연구는 유기물 함량이 다른 농경지 토양(과수원, 밭, 그리고 시설하우스)에 유기물 제거를 위한 5종의 수용액을 적용하였을 때, 토양 유기물 제거 효율과 MP 분리에 미치는 영향을 평가하고자 하였다.
Materials and Methods
공시재료
본 연구에 사용된 토양은 충남대학교 농업생명과학대학 내 시험 포장에서 채취하였으며, 농경지 유형에 따라 시설하우스, 밭, 그리고 과수원 토양으로 구분하였다. 시설하우스 토양은 왕겨 바이오차를 처리하여 3년간 상추를 재배한 토양이며, 밭과 과수원 토양은 각각 배추와 복숭아를 5년 이상 재배한 토양이다(Kang et al., 2023; 2024). 채취한 토양은 105℃로 설정한 dry-oven에서 48시간 이상 건조하여 토양 내 수분을 모두 제거한 후, 2 mm 이하로 체거름하여 시험에 이용하였다(Lee et al., 2024).
본 연구에서는 유기물 분해를 위해 총 5종의 수용액을 이용하였으며, 2차 증류수(distilled water, DW), 질산(HNO3), 수산화 칼륨(KOH), 35% 과산화수소(H2O2), 그리고 Fenton 시약(35% H2O2 + 0.05 mM FeSO4·7H2O)으로 구분하였다. 또한, 질산과 수산화 칼륨은 DW를 이용해 각각 30% (v/v) 및 10% (w/v) 비율로 제조하여 유기물 분해 및 MP 회수율 평가에 이용하였다(Prata et al., 2019). 본 연구에서 수용액의 제조 조건은 수용액 종류 별 희석 비율에 따른 유기물 분해 효율을 보고한 선행연구의 결과를 기초로 선정하였다(Masura et al., 2015).
토양 유기물 분해 시험
토양 유기물 분해 시험은 토양 온도(0, 20, and 40℃)를 달리 설정하여 수용액 별 유기물 분해 효율을 평가하였으며, 반응 시간은 모두 1시간으로 통일하였다. 먼저, 건조시킨 토양 시료와 수용액은 1 : 1 (w/v)의 비율로 혼합하였으며, 환경 온도에 따라 얼음 수조(0℃), 상온(20℃), 그리고 핫 플레이트(40℃)에서 반응시켰다. 반응이 끝난 혼합물은 DW를 처리하여 반응을 강제로 종료시켰으며, No. 2 여과지를 이용하여 토양 시료와 수용액을 분리하였다. 이후, 토양 시료는 60℃로 설정한 dry-oven에서 수분을 완전히 제거한 후에 원소분석기(elemental analyzer; CHN828, Leco Corp., USA)를 이용하여 탄소(C) 함량을 계산하였으며, 분석한 C 함량에 유기물 보정 계수(1.724)를 곱하여 토양 유기물 함량을 도출하였다(Kim et al., 2024; Shin et al., 2024).
미세플라스틱 회수율 시험
Nabi 등(2022)의 연구를 비롯한 일부 선행연구에서는 토양 유기물 분해 중 토양 온도가 70℃ 이상으로 증가함에 따라 MP 시료가 유기물과 함께 분해되며, 이는 MP 회수율 저하로 이어진다고 보고하였다(Lavoy and Crossman, 2021). 이에 따라, 본 연구에서는 5종의 수용액 별 토양 유기물 분해 효율과 MP 회수율을 함께 조사하여 MP 회수율을 저해하지 않으면서 가장 효율적으로 유기물을 분해하는 수용액 처리 조건을 설정하고자 하였다. MP 회수율 평가를 위해 내열성이 가장 낮은 폴리스티렌(polystyrene, PS)을 토양 내 1% (w/w) 임의로 처리하여 시험을 진행하였다(Table 1). PS 혼합 토양은 온도 조건을 달리하여 유기물 분해 과정을 거친 후, 밀도를 1.21 g·cm-3로 조정한 염화나트륨(NaCl) 수용액과 밀도분리(density-separation) 법을 이용하여 토양 내 PS 시료를 분리하였다. 분리한 PS 시료는 55℃로 설정한 dry-oven에서 48시간 동안 건조시킨 후, 건조 후 각 시료의 무게를 측정하였으며, PS 회수율을 분석한 결과는 백분율(%) 형태로 나타내었다.
Table 1.
Heat-resistance temperatures by types of plastic.
| Plastics | PA | PC | PS | LDPE | HDPE | PVC | PP | PTFE | ABS |
| Heat-resistance temperature (℃) | 90 | 135 | 70 | 95 | 110 | 70 | 135 | 270 | 90 |
통계분석
본 연구에서 도출한 결과는 모두 3반복 수행한 값의 평균과 표준편차로 구분하여 나타내었다. 각 처리구간 유의차 검정(p < 0.05)을 위해 SPSS 소프트웨어(IBM, 2019)를 이용하여 분산 분석 및 Duncan의 다중 범위 분석을 실시하였으며, 그 결과는 알파벳 소문자 형태로 나타내었다.
Results and Discussion
유기물 분해 온도 조건에 따른 수용액 별 유기물 분해율
농경지 유형 별로 구분한 토양에 유기물 분해 온도(0, 20, and 40℃)를 달리하여 수용액 별 유기물 분해 효율을 비교한 결과는 Fig. 1에 나타내었다. 먼저, 증류수 처리 조건에서 세 유형의 토양은 모두 온도 변화에 따른 유의한 차이를 나타내지 않았으며, 토양 온도가 0℃에서 40℃으로 증가함에도 초기 유기물 함량(과수원 토양, 24.73 g·kg-1; 밭 토양, 20.69 g·kg-1; 시설하우스 토양 41.31 g·kg-1)이 유지되는 경향을 나타내었다. 과수원 토양 조건에서 수용액 별 유기물 분해 효율을 비교하였을 때, 토양 온도가 40℃인 조건 중 Fenton 수용액을 적용하였을 때, 토양 내 유기물 함량이 13.83 g·kg-1으로 가장 낮았으며, 이는 초기 유기물 함량(24.73 g·kg-1)보다 1.79배 낮은 수준이었다. 밭 토양과 시설하우스 토양에서도 과수원 토양과 유사한 경향을 나타내어 40℃ 및 Fenton 수용액 적용 조건에서 각각 13.28 g·kg-1과 29.44 g·kg-1로 초기 유기물 함량의 64% 및 71% 수준으로 가장 낮았다.

Fig. 1.
Variations in soil organic matter content influenced by different solutions and soil temperature conditions. The findings presented in this figure are the mean values of three replicates, and standard deviation are presented in the form of error bars. DW, distilled water; HNO3, nitric acid (30%); KOH, potassium hydroxide (10%); H2O2, hydrogen peroxide (35%); Fenton, combination of hydrogen peroxide (35%) and 0.05 mM iron (II) sulfate heptahydrate at a ratio of 1 : 1 (v/v); n.s., not significant. a - c: Each value with different letter within a column are significantly different from each other as determined by Duncan’s multiple range test (p < 0.05).
수용액 5종을 이용한 온도 별 유기물 분해율은 토양 내 유기물 함량에 따라 각기 다른 경향을 나타내었으며, 그 결과는 Fig. 2와 같다. 토양 내 유기물 함량이 상대적으로 낮은 과수원 및 밭 토양에서는 HNO3 수용액을 적용함에 따라 유기물 함량과 온도 조건은 서로 음(-)의 상관관계를 나타내었으며, 40℃ 조건의 밭 토양에서 14.91 g·kg-1로 가장 낮았다. 반면, 시설하우스 토양에서는 온도에 따른 HNO3 수용액의 유기물 분해 효율은 35.38 g·kg-1 (0℃), 34.83 g·kg-1 (20℃), 그리고 34.57 g·kg-1 (40℃)로 서로 간 유의한 차이를 보이지 않았다. 알칼리 소화인 KOH 수용액에서는 시설하우스 토양의 온도가 20℃ 이상으로 증가함에 따라 유기물 함량이 36.01 g·kg-1에서 34.56 g·kg-1로 유의하게 감소하였으며, 40℃ 이하의 조건에서 과수원 및 밭 토양 내 유기물 함량은 유의한 차이를 나타내지 않았다. 산화 방식의 H2O2 및 Fenton 수용액은 시설하우스 토양에서 상반된 경향을 나타내었으며, 과수원 토양과 밭 토양에서는 온도가 증가함에 따라 유기물 함량은 점차 감소하는 경향이었다.

Fig. 2.
Statistical relationship between organic matter variations and soil temperature. DW, distilled water; HNO3, nitric acid (30%); KOH, potassium hydroxide (10%); H2O2, hydrogen peroxide (35%); Fenton, combination of hydrogen peroxide (35%) and 0.05 mM iron (II) sulfate heptahydrate at a ratio of 1 : 1 (v/v).
토양 온도 변화에 따른 농경지 토양 내 유기물 분해 효율을 분석한 선행연구에서는 토양 온도가 20℃ 이상으로 증가하여 유기물 분해가 활성화된다고 보고하였다(Shin, 2025). 또한, Lee 등(2021)의 연구에서도 농경지 환경 온도가 증가와 함께 미생물의 활동이 활성화됨에 따라 토양 유기물 분해가 촉진된다고 보고한 바 있다. 본 연구에서도 선행연구와 유사하게 온도가 증가함에 따라 유기물 함량이 감소하는 경향을 나타내었으나, 선행연구에서 제시한 토양 조건이 달라 온도 변화에 따른 유기물 분해 메커니즘은 서로 다를 것으로 판단된다(Lee et al., 2021; Jeon et al., 2024; Shin, 2025). 선행연구에서 제시한 유기물 분해의 주된 메커니즘은 온도 증가에 따라 토양 미생물의 활성이 증대되어 유기물 분해가 촉진되는 것이나, 본 연구에서 사용한 토양은 건조시킨 후에 강한 산화 혹은 알칼리화 수용액을 처리하여 토양 미생물이 활동할 수 없는 환경을 조성하였다. 이에 따라, 본 연구에서는 선행연구와 달리 환경 온도가 증가함에 따라 수용액의 활성이 증가하여 유기물 분해가 촉진된 것으로 판단된다. 또한, 이러한 경향은 환경 온도 변화에 따른 다양한 수용액의 활성을 평가한 선행연구와도 유사한 경향이었다(Huh et al., 2012; Oh et al., 2021). 한 선행연구에서는 H2O2 및 Fenton 수용액을 이용하여 온도에 따른 유기물의 산화 반응을 확인하였으며, 온도가 증가함에 따라 탄소 구조를 분해하는 산화 라디칼(oxidation radical) 생성이 촉진된다고 보고하였다(Oh et al., 2021). 또 다른 선행연구에서는 HNO3, KOH 등과 같은 강산 혹은 알칼리성 수용액은 침식(erosion) 작용을 통해 탄소를 소비하며, 환경 온도가 증가할수록 침식 활성이 더욱 활발해진다고 보고하였다(Huh et al., 2012). 따라서, 토양 온도의 증가는 수용액의 활성을 증가시켜 유기물 분해를 촉진시킬 수 있으며, 강산 혹은 강알칼리성 수용액의 침식 반응보다 산화 반응을 통한 유기물 분해가 더욱 효과적일 것으로 판단된다.
유기물 분해 토양의 온도 및 수용액 별 PS 회수율 변화
유기물 분해를 실시한 토양에서의 PS 회수율을 분석한 결과는 Fig. 3에 나타내었다. 증류수 처리 조건(DW)에서 PS 회수율이 가장 낮았으며, 토양 내 유기물 함량이 높아짐에 따라 PS 회수율은 유의하게 감소하였다. 유기물 함량이 상대적으로 높은 시설하우스 토양의 경우, 증류수 적용에 따라 PS의 회수율이 61.49% (40℃)로 가장 낮았으나, 토양 온도 변화(0℃, 62.97%; 20℃, 62.43%; 40℃, 61.47%)에 따른 유의한 차이는 보이지 않았다. 토양 내 유기물 함량이 낮은 과수원 및 밭 토양에서의 PS 회수율은 동일 온도 조건에서 증류수를 제외한 4종의 수용액 별 유의한 차이를 보이지 않았으나, 시설하우스 토양에서는 산화 방식의 H2O2 및 Fenton 수용액의 PS 회수율이 유의하게 높았다. 또한, 본 연구에서 H2O2 수용액 적용에 따른 PS 회수율은 토양 유형 및 온도 조건에 따라 상이한 경향을 나타내었다. H2O2 수용액을 적용한 과수원 토양에서는 환경 온도가 20℃에서 40℃로 증가함에 따라 PS 회수율은 96.20%에서 88.77%로 감소한 반면, 시설하우스 토양에서는 92.30%에서 94.73%로 증가하였다. 밭 토양은 H2O2 수용액 적용 조건에서 PS 회수율이 온도에 따른 유의한 차이를 보이지 않았으나, 온도가 증가함에 따라 PS 회수율은 91.17%에서 90.30%로 소폭 감소하였다. 이러한 결과를 통해, 상대적으로 낮은 유기물 조건의 토양에서 H2O2 수용액은 강한 산화 반응으로 인해 유기물과 함께 MP 시료가 함께 분해될 수 있음을 시사한다.

Fig. 3.
Variations in percentage PS yield affected by different solutions and soil temperature conditions. The findings presented in this figure are the mean values of three replicates, and standard deviation are presented in the form of error bars. PS, polystyrene; DW, distilled water; HNO3, nitric acid (30%); KOH, potassium hydroxide (10%); H2O2, hydrogen peroxide (35%); Fenton, combination of hydrogen peroxide (35%) and 0.05 mM iron (II) sulfate heptahydrate at a ratio of 1 : 1 (v/v); n.s., not significant. a - c: Each value with different letter within a column are significantly different from each other as determined by Duncan’s multiple range test (p < 0.05).
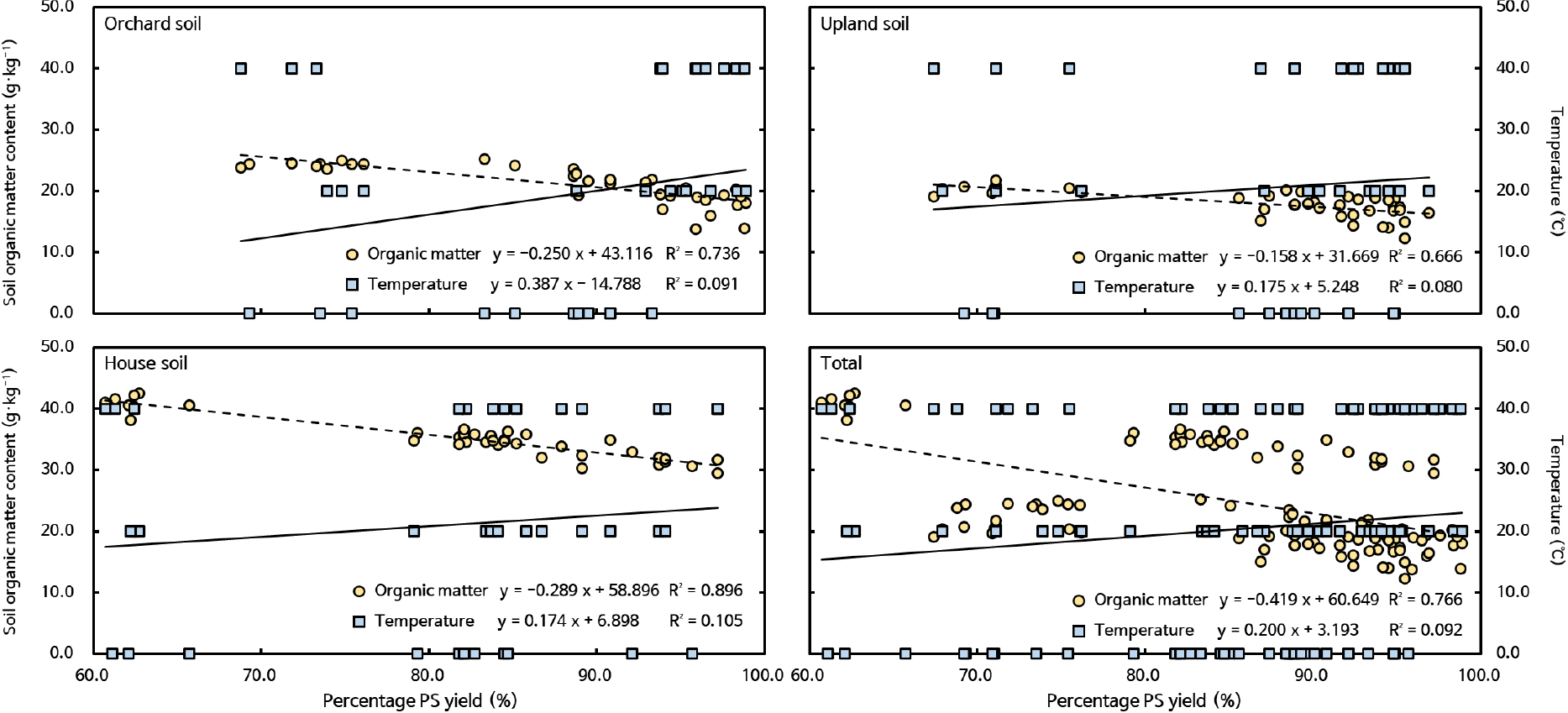
본 연구에서는 토양 유기물과 PS 회수율은 서로 음(-)의 상관관계를 나타내었으나, 환경 온도는 PS 회수율에 직접적인 영향을 미치지 않았다(Fig. 4). 토양 내 유기물과 MP의 상호작용을 연구한 Ivanic 등(2023)에서는 토양 입자와 유기물은 MP 흡착을 위해 경쟁하며, 유기물 함량이 높은 토양에서는 MP 회수율이 감소한다고 보고하였다. 이와 유사하게, 본 연구에서도 증류수 처리 조건에서의 PS 회수율은 유기물 함량이 높은 시설하우스 토양보다 과수원 및 밭 토양에서 유의하게 높았다(Fig. 3). 또한, H2O2 수용액의 과도한 산화 반응으로 인한 MP의 소실은 온도 별 H2O2의 활성을 평가한 Hurley 등(2018)의 연구에서도 유사하게 나타났으며, H2O2 수용액을 처리한 토양의 온도가 10℃ 상승함에 따라 MP 시료의 무게가 최대 34.1% 감소하였다고 보고하였다. 따라서, 높은 MP 회수율 기반의 정확한 정량분석을 위해서는 H2O2 및 Fenton 수용액을 활용한 산화 방식을 통해 토양 내 유기물을 분해하는 것이 필수적이나, H2O2 수용액은 급격한 산화 반응으로 MP 소실을 유도하여 40℃ 이하로 온도를 설정하는 것이 필요하다.
Conclusion
본 연구에서는 미세플라스틱(MP) 분석을 위한 토양 전처리 과정 중 유기물 분해를 위한 최적의 처리 조건을 설정하고자 수용액 5종의 온도 별(0, 20, and 40℃) 유기물 분해 효율을 분석하였다. 또한, 유기물 분해 과정 중 과도한 반응으로 인해 온도가 70℃ 이상으로 증가하는 경우, 토양 내 MP 시료가 함께 손상될 수 있어 PS를 이용하여 MP 회수율 시험을 함께 실시하였다. 토양 내 유기물 분해 효율은 온도가 증가함에 따라 점차 증가하는 경향을 나타내었으며, 산화 방식의 Fenton 수용액이 토양 종류(과수원, 밭, 시설하우스)에 따라 각각 44%, 36%, 그리고 29% 감소하여 가장 높은 유기물 분해 효율을 나타내었다. 또한, 수용액 별 유기물 분해 효율은 PS 회수율과 양(+)의 상관관계를 나타내어 유기물 분해 효율이 가장 높은 Fenton 수용액 처리 토양에서 PS 회수율이 가장 높게 나타났다. 하지만, 동일한 산화 방식인 H2O2 수용액의 경우, 토양 내 유기물 함량에 따라 각기 다른 경향을 나타내어 초기 유기물 함량이 높은 시설하우스 토양에서는 온도가 증가함에 따라 유기물 분해율이 높은 반면, 과수원 및 밭 토양에서는 20℃ 이상에서 감소하는 경향을 나타내었다. 따라서, 본 연구의 결과를 종합하였을 때, 토양 내 MP 분석을 위해서는 Fenton 수용액을 처리한 후, 토양 온도를 40℃로 유지시켜 토양 내 유기물을 분해하는 것이 가장 효과적일 것으로 판단된다. 그러나, 토양의 초기 유기물 함량에 따라 강한 산화방식으로 인해 MP 시료가 손상될 수 있어 토양 전처리 실시 이후에 MP 회수율을 확인하는 것이 필요하다.



