Introduction
Materials and Methods
Research site and experimental design
Sampling and analysis
Statistical analysis
Results and Discussion
당근 생육 및 양분 흡수량
당근 수량 및 질소 이용효율
상관분석
주성분 분석(principal component analysis)
Conclusion
Introduction
당근은 탄수화물, 무기염류, 다양한 비타민 등을 풍부하게 함유하고 있는 고부가가치 경제성 작물로 알려져 있으며(Ayupov et al., 2019), 국내 통계자료에 따르면 2025년도 봄 및 겨울 작형의 노지 재배 면적은 각각 1,017 ha, 1,342 ha이었다(KREI, 2025). 당근은 적정한 관수 유지가 중요하기 때문에 재배 과정에서의 수분 공급 방식은 작물 생육과 품질에 결정적인 영향을 미친다(Elshamly and Nassar, 2023). 이에 따라 당근의 수분 이용효율을 개선하기 위한 관수 및 양분 공급 연구가 활발히 진행되어 왔다(Carvalho et al., 2018; Kováčik et al., 2018).
정밀농업(precision agriculture)은 농업 생산성과 자원 효율성을 극대화하기 위해 데이터 기반 기술을 활용하여 시비, 관수, 방제 등의 농작업을 정밀하고 맞춤형으로 관리하는 체계이다. 최근에는 드론부터 위성에 이르는 고해상도 다중 스펙트럼 기반의 첨단 원격 감지 시스템을 활용하여 토양의 물리적·화학적 특성을 예측하고, 이를 바탕으로 자원 효율적인 시비 결정을 내릴 수 있도록 하고 있다. 또한 머신러닝 기법의 적용은 시기적·공간적 가변성을 극복하고 토양 영양소 추정의 정확도를 향상시키는 데 기여하고 있다(Radočaj et al., 2022; Chen et al., 2025). 양액 재배 및 점적 관비 시스템은 물과 비료의 투입량을 작물 생육 단계에 따라 유연하게 조절하고, 뿌리 근권에 국소적으로 공급할 수 있어, 가뭄 스트레스에 민감한 원예 작물은 물론 밭작물에도 효과적인 기술로 주목받고 있다(Rolbiecki et al., 2021; Singh et al., 2023; Song et al., 2024).
한편, 지속가능한 농업 실현을 위한 노력의 일환으로 화학비료의 사용을 줄이고, 유기비료로 대체하려는 연구도 다양하게 수행되고 있다. 일부 연구에서는 유기비료를 통해 당근의 수확량과 품질을 향상시킨 바 있으며(Afrin et al., 2019; Bender et al., 2020; Diallo et al., 2021; Çakmakçı and Çakmakçı, 2023; Amartey et al., 2025), 이는 풍부한 다량원소(N, P, K) 공급, 토양의 물리·화학·생물적 특성 개선, 온실가스 배출 저감 등의 효과를 함께 나타낸다(Tang et al., 2024). 그럼에도 불구하고, 우리나라의 양분 관리 시스템은 여전히 NIAS (2019)의 표준 시비 기준 및 토양 진단에 기반한 화학 비료 사용에 의존하고 있다. 본 연구의 가설은, 밑거름으로 부산물비료를 시용하고, 웃거름을 관비 비율별로 조절하여 공급하면, 처리 조합 간 질소 이용효율과 수량에 유의한 차이가 나타난다는 것이다. 따라서 본 연구는 당근의 생육시기별 양분 흡수 특성을 반영하여, 밑거름으로 부산물비료와 웃거름 관비비율을 달리하였을 때, 당근 생산에 가장 효과적인 양분관리방법을 구명하고자 수행하였다.
Materials and Methods
Research site and experimental design
본 실험은 당근 재배 시 부산물 비료 종류와 관비 공급 비율에 따른 생육, 질소 이용효율 및 수량을 평가하기 위해 충청북도 괴산군(위도 36°8′N, 경도 127°7′E)에 위치한 농가포장에서 2023년 8월부터 11월까지 90일간 수행되었다. 당근 품종은 ‘에이스’(㈜제농 에스앤티)로, 균일한 형태와 우수한 색상, 고온기 적응성이 뛰어난 특성이 있다. 이랑 폭 100 cm, 주간거리 20 cm로 이랑 당 2줄씩 파종하였다. 각 처리구의 시험구 면적은 21 m2이었으며, 실험은 무처리, 밑거름 종류(3수준)와 관비비율(3수준)으로 구성된 10처리를 동일한 조건에서 3반복하여, 분할구 배치법으로 수행하였다.
시험전 토양의 물리화학적 특성은 다음과 같다: pH 7.8, 전기전도도(electrical conductivity, EC) 0.3 dS·m-1, 유효인산(P2O5) 300 mg·kg-1, 치환성 칼륨(K+) 0.3; 칼슘(Ca2+) 5.0, 마그네슘(Mg2+) 1.4 cmolc kg-1, 용적밀도 1.5 g·cm-3, 수분함량 14.2%이었다. 치환성 양이온 함량은 농촌진흥청 비료사용 처방기준의 권장 범위(K+ 0.55 - 0.65; Ca2+ 5.0 - 6.0; Mg2+ 1.5 - 2.0 cmolc kg-1)와 비교할 때, k+는 0.25 cmolc kg-1, Mg2+는 0.1 cmolc kg-1 낮았다. 그 외 지표(pH, EC, P2O5)는 당근 재배에 대체로 적합한 수준이었다. 노지 당근 전체 생육기간 동안 일일 평균 기온과 총 강수량은 각각 16.4℃와 329.5 mm였다(Fig. 1). 밑거름은 가축분 퇴비(livestock compost, LC), 유기질비료(organic fertilizer, OF), 그리고 두 자재를 1 : 1 비율로 혼합한 처리구를 포함하였다. 가축분 퇴비와 유기질비료의 성분 함량은 각각 질소: 1.8%, 칼륨: 1.3% 및 질소: 4.3%, 칼륨: 1.0%였다. 비료 시용량은 농촌진흥청 토양검정 비료사용처방기준으로 동일하게 적용하였다. 가축분 퇴비와 유기질 비료는 질소 총 시비량을 기준으로 하여 부족한 칼륨 성분은 염화가리로 보충하였으며, 인산은 밑거름으로 20.7 kg·10a-1 전량 시비하였다(Table 1). 밑거름과 웃거름 비율은 100 : 0, 50 : 50, 30 : 70으로 설정하였다. 관비는 이랑 당 역류방지 밸브(압력 1 kg·cm-2, 유량 1.1 L·h-1)를 1개씩 설치하여 수행하였고, 웃거름 비료는 요소(질소, 46%)와 염화가리(칼륨, 60%)를 사용하여 파종 2주 후부터 10일 간격으로 총 13회에 걸쳐 분할공급 하였다. 관수는 장력센서를 설치하여 토양 수분 장력이 -33 kPa 이하일 경우 10분간 자동으로 공급되도록 설정하였으며, 드리퍼 방출유량, 드리퍼 간격, 줄 수와 시험구 면적을 기준으로 환산한 1회 관수량은 평균 5.5 mm였다.
Table 1.
Fertilizer application rates by treatment based on soil analysis.
Sampling and analysis
토양 화학성 분석은 농촌진흥청 연구조사분석기준(RDA, 2012)에 준하여 수행하였다. 지표면으로부터 깊이 0 - 20 cm의 토양을 채취한 후, 3일간 풍건한 후 2 mm체를 통과시켜 분석시료로 활용하였다. 토양 pH 및 EC는 토양 시료 5 g에 증류수 25 mL를 가하여 진탕한 뒤, pH meter/EC meter (Thermo Scientific, USA)를 이용하여 측정하였다. 유효인산 함량은 Lancaster법으로 추출하고, 720 nm에서 자외선-분광광도계(Hitachi, Japan)를 사용하여 분석하였다. 치환성 양이온은 1 M CH3COONH4 (pH 7.0) 완충용액으로 침출한 후, Whatman No.2 여과지를 이용해 여과하고, 유도결합 플라즈마 분광광도계(inductively coupled plasma-optical emission spectrometer, ICP-OES; GBC Scientific Equipment, Australia)로 분석하였다.
식물체 시료는 파종 후 30일(days after sowing, DAS)부터 수확기인 90 DAS까지 15일 간격으로 총 5회 채취하였으며, 80℃ 건조기에서 72시간 건조 후 분쇄하여 분석에 사용하였다. 지상부와 지하부 내 총 질소 함량은 원소 분석기(Primacs SNC 100, SKALAR, Netherlands)를 이용하여 Dumas 연소법으로 측정하였다. 당근 수량은 지하부 생과중으로 조사하였으며, 질소 흡수량은 지하부와 지상부의 건물중(dry weight, DW)에 총 질소 함량을 곱하여 산출하였다. 질소 이용효율 관련 지표는 다음과 같은 식을 이용하여 계산하였다.
Statistical analysis
데이터 분석은 R 통계 소프트웨어(R Core Team, 2022)를 이용하였으며, 처리간 유의성을 검정하기 위해 일원분산분석(one-way ANOVA)을 수행하였다. 처리 간 평균값의 유의차는 유의수준 5%에서 최소유의차검정(least significant difference, LSD)으로 사후 검정을 실시하였다. 변수 간의 관계를 파악하기 위해 피어슨 상관분석(Pearson’s correlation coefficient)을 실시하여 유의성을 검정하였으며, 변수 간 분산 구조 및 주요 요인 식별을 위해 주성분분석(principal component analysis, PCA)을 수행하였다.
Results and Discussion
당근 생육 및 양분 흡수량
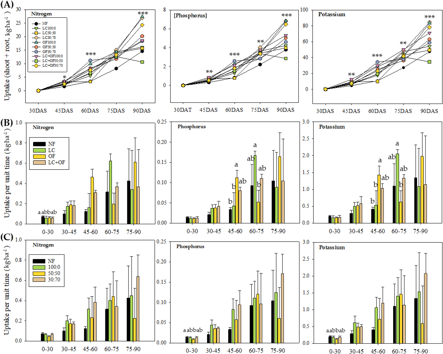
생육 전 기간 동안의 건물중 변화(Fig. 2B)는 비료 처리에 따라 상이한 생장 곡선을 나타냈으며, 생육 구간별 건물중 증가량(ΔDW)을 분석한 결과(Fig. 2C), 45 - 60 DAS 구간에서 OF 처리구는 단위 기간(15일)당 약 19.3 kg·ha-1로 가장 빠른 생장 속도를 보였으며, LC+OF (14.5 kg·ha-1), LC (6.8 kg·ha-1), no fertilizer (NF, 5.6 kg·ha-1) 순으로 나타났다. 이 시기는 질소 축적과 생장 호르몬(GA 등)의 대사 활성이 촉진되는 시기로, 기존 연구들에서도 동일한 시기에 세포 증식 및 팽대와 저장근의 비대 가속화가 보고된 바 있다(Westerveld et al., 2006a; Wang et al., 2015; Liu et al., 2018). 또한, 75 - 90 DAS 구간에서도 OF 처리구는 27.5 kg·ha-1·day-1로 가장 높은 생장량 증가를 보였다. Liu 등(2013)의 연구에 따르면, 생장 후기에는 광합성 산물이 잎에서 저장근으로 대량 전이되며, 전체 저장근 생체량의 약 70%를 차지한다고 보고된 바 있다. 이러한 점을 고려할 때, 본 실험에서도 생장 후기의 건물중 증가는 광합성산물의 전류로 인한 뿌리 성장으로 추론해볼 수 있다. 한편, 관비 비율에 따른 생육 반응(Fig. 2D)을 살펴보면, 100 : 0 및 30 : 70 처리구는 50 : 50 처리구(8.3 kg·ha-1)를 제외하고 생육 후기(75 - 90 DAS)에 가장 높은 생장량 증가(21.2 및 28.3 kg·ha-1)를 나타내었다.

Fig. 2.
Carrot growth performance across treatments. (A) Whole-plant appearance at 90 days after sowing (DAS). (B) Cumulative biomass (shoot + root, kg·ha-1) from 30 to 90 DAS. (C) Growth per unit time (kg·ha-1) by basal fertilizer types (no fertilizer [NF], livestock compost [LC], organic fertilizer [OF], LC+OF) across growth stages (0 - 30, 30 - 45, 45 - 60, 60 - 75, 75 - 90 DAS). (D) Growth per unit time (kg·ha-1) by fertigation ratios (100 : 0, 50 : 50, 30 : 70). a - c: Different lowercase letters indicate differences among treatments within each stage (LSD, p < 0.05). Asterisks denote significant differences among treatments at the same time point (* p < 0.05, ** p < 0.01, *** p < 0.001); ‘ns’ indicates not significant but is not shown in the graphs.
N, P, K의 흡수량 변화(Fig. 3)는 건물중 증가 경향(Fig. 2)과 유사한 양상을 보였다. OF처리구는 생육 기간 동안 전반적으로 높은 양분 흡수량을 나타내었으며, 특히 45 - 60 DAS 및 75 - 90 DAS 구간에서 N, P, K의 흡수가 집중되었다(0.5, 0.1, 1.4 및 0.6, 0.2, 2.0 kg·ha-1). LC와 LC+OF 처리구 또한 후반기(60 - 90 DAS)에 흡수량이 증가하였으며, 이는 비료의 종류에 따라 질소 가용화와 흡수 시기가 달라지기 때문으로 해석된다(Lazicki et al., 2020; Marzi et al., 2020). 실제로 Lazicki 등(2020)과 Marzi 등(2020)은 OF가 펠렛형 비료로 무기화가 빠르게 진행되어 생육 초기부터 질소 공급이 원활한 반면, LC는 유기물 함량이 높고 미생물 활성에 의존하여 중기 이후에 흡수가 이루어진다고 보고하였다. 한편, 관비 시비 비율(Fig. 3C)에 따른 결과에서는 100 : 0 및 30 : 70 처리구가 75 - 90 DAS기간 동안 양분 흡수에서 가장 높은 값을 기록하였다(0.45, 0.12, 1.54 및 0.64, 0.17, 2.08 kg·ha-1). 그러나, 50 : 50 처리구는 전반적으로 낮은 흡수량을 보였다. 선행 연구에 따르면, 당근의 뿌리 건물중 및 질소 축적은 파종 후 50 - 60일까지는 낮은 수준을 유지하다가 이후 수확기까지 선형적으로 증가하는 경향을 보였다(Westerveld et al., 2006b). 이러한 결과를 종합하면, 60 - 90 DAS는 비료 유형 및 관비 비율에 관계없이 당근의 수량과 양분 이용효율을 향상시키기 위한 가장 중요한 생육 시기로 판단된다.

Fig. 3.
Uptake of macronutrients in shoot and root (kg·ha-1) under different treatments. (A) Uptake of nitrogen (N), phosphorus (P), and potassium (K) from 30 to 90 days after sowing (DAS). (B) Uptake per unit time (kg·ha-1) by basal fertilizer types (no fertilizer [NF], livestock compost [LC], organic fertilizer [OF], LC+OF) across growth stages (0 - 30, 30 - 45, 45 - 60, 60 - 75, 75 - 90 DAS). (C) Uptake per unit time (kg·ha-1) by fertigation ratios (100 : 0, 50 : 50, 30 : 70). a, b: Different lowercase letters indicate significant differences among treatments within each stage (LSD, p < 0.05). Asterisks denote significant differences among treatments at the same time point (* p < 0.05, ** p < 0.01, *** p < 0.001); ‘ns’ indicates not significant but is not shown in the graphs.
당근 수량 및 질소 이용효율
지상부와 지하부의 질소함량은 각각 2.47 - 3.08%와 1.24 - 1.82% 범위로 나타났다(Fig. 4A). OF100:0, LC30:70, LC+OF30:70 처리구는 질소 흡수효율(NUpE)에서 각각 0.12 - 0.14 kg·kg-1의 높은 값을 보였으며, 이는 다른 처리구 대비 36.7% 증가한 수준으로 나타났으나 통계적으로 유의한 차이는 없었다(Fig. 4B and D). 이러한 결과는 펠렛형 유기질 비료의 빠른 무기화 특성과 질소 가용성이 LC 대비 우수하다는 점을 고려할 때(Lazicki et al., 2020; De Jesus et al., 2024), 전량 밑거름에 대해 효과가 있었음을 추론해 볼 수 있다. 반면, 총 질소 흡수량 대비 뿌리 건물중(NUtE)과 질소 수확지수(NHI)는 처리 간 유의한 차이를 보이지 않았으며(Fig. 4C and E), 이는 생육 환경이나 품종 등의 요인이 식물체 내 질소의 동화 및 전이에 대해 더 큰 영향을 미쳤을 수 있음을 시사한다(Montazar et al., 2021). 지하부 비율(Root/Total DW)의 경우(Fig. 4F), 근 비대 초기(30 - 45 DAS)에는 무처리구(NF)에서 뿌리 비율이 가장 낮았으나(0.06 - 0.13), 근 비대 성기(75 DAS)에는 비료처리구(0.37 - 0.54) 대비 증가하였다(0.53 - 0.59). 이는 제한된 자원 조건에서 초기에는 지상부 생장을 우선시하고, 생장 후기로 갈수록 에너지와 양분을 저장기관인 뿌리로 전환하는 전략으로 해석될 수 있으며, 이러한 자원 배분 전략은 Chapin (1980)에서도 유사하게 보고된 바 있다.

Fig. 4.
Effect of basal fertilizers and fertigation ratios on (A) total nitrogen content (%), (B) nitrogen uptake efficiency (NUpE, kg·kg-1), (C) nitrogen utilization efficiency (NUtE, kg·kg-1), (D) nitrogen use efficiency (NUE, kg·kg-1), (E) nitrogen harvest index (NHI, %) and (F) root/total ratio. NF, no fertilizer; LC, livestock compost; OF, organic fertilizer. a - d: Different lowercase letters above bars indicate statistically significant differences among treatments (LSD, p < 0.05). ‘ns’ indicates not significant but is not shown in the graphs.
한편, 당근의 총 건물중(shoot + root, Fig. 5A)은 OF100:0, LC30:70 및 LC+OF30:70 처리구에서 1,079.7 ± 272.7 - 1,150.4 ± 75.7 kg·ha-1로 NF와 통계적으로 유의한 차이를 보였으며, 그 외 처리구에서는 약 514.7 ± 67.6 - 977.0 ± 71.9 kg·ha-1 였다. 당근 수량(economic yield, Fig. 5B)은 OF100:0, LC+OF100:0, LC30:70 및 LC+OF30:70 처리구는 5,337.9 ± 163.3 - 6,347.9 ± 641.4 kg·ha-1로 NF에 비해 유의하게 컸으며, NF와 나머지 처리구는 3,095.2 ± 401.6 - 5,147.8 ± 713.1 kg·ha-1 범위의 수량을 나타냈다.

Fig. 5.
Effect of basal fertilizers and fertigation ratios on (A) dry weight of shoot and root (kg·ha-1), and root economic yield (fresh weight) (B) at harvest stage (DAS 90). NF, no fertilizer; LC, livestock compost; OF, organic fertilizer. a - f: Different lowercase letters above bars indicate statistically significant differences among treatments (LSD, p < 0.05).
상관분석
당근의 생육 특성, 양분 흡수량, 질소 이용효율 지표 간의 상관계수 및 유의성을 분석한 결과, 분석에 사용된 10개 형질 중, 수량은 총 건물중(total DW, r = 0.81***), 총 질소·인·칼륨 흡수량(total N/P/K uptake, r = 0.76***, 0.80***, 0.80***), 질소 흡수효율(NUpE, r = 0.75***), 질소 이용효율(NUE, r = 0.76***)과 유의한 양의 상관관계를 보였다(Table 2). 이는 당근의 수량 증대에 있어 양분 흡수와 효율적인 질소 이용이 주요 결정 요인임을 시사한다. 반면, Root/Total 비율(r = -0.40*)과 질소 수확지수(NHI, r = -0.38*)는 수량과는 음의 상관관계를 나타냈다. 이는 비율 지표의 산술적 제약 또는 희석효과에서 기인했을 가능성이 있으며, 내부 재분배와 외부 흡수의 상대적 기여도를 단정하기는 어렵다. 따라서 절대량 지표 및 장기적인 양분 동태 분석을 통해 추가적인 검증이 필요하다.
Table 2.
Pearson correlation coefficients among the 10 measured traits under different basal fertilizer types and fertigation ratios.
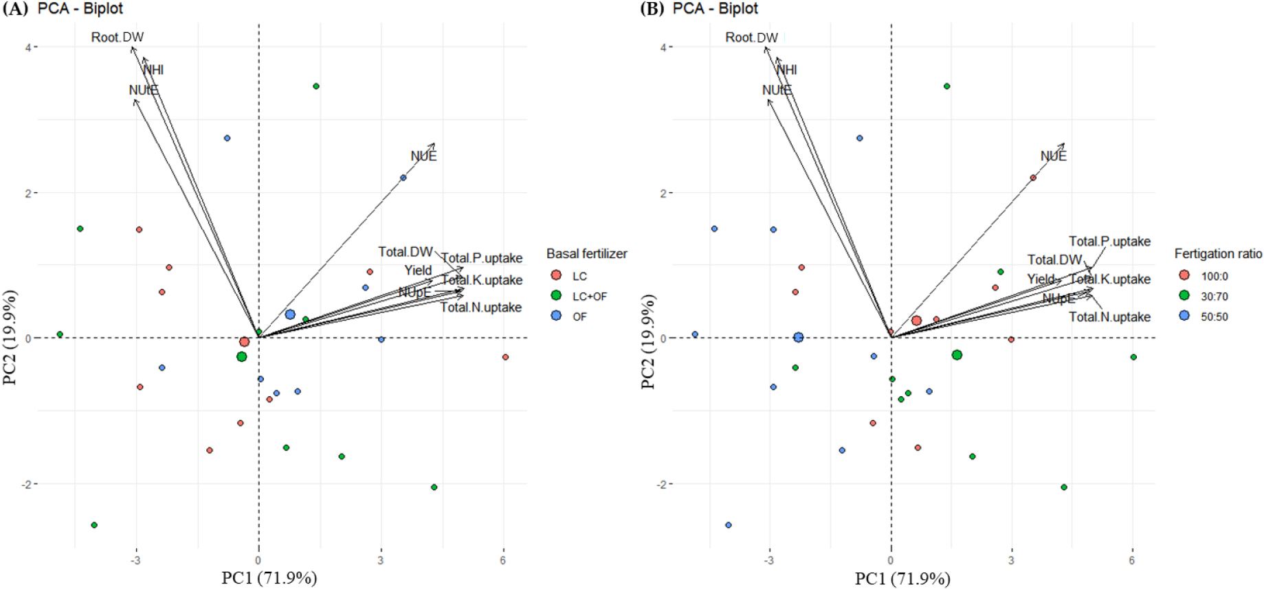
주성분 분석(principal component analysis)
Fig. 6의 주성분 분석 결과는 서로 다른 밑거름 종류와 관비 비율 조건에서 당근 생육 및 양분 이용 형질들을 대상으로 주성분 분석을 하였다(Fig. 6). PC1 (71.9%)과 PC2 (19.9%)는 전체 변이의 91.8%를 설명하였으며, 이는 분석에 사용된 형질들이 두 축을 통해 충분히 구분 가능함을 의미한다. PC2는 총 생체량(total DW), 수량(yield), 양분 흡수량(total N, P, K uptake), 질소 흡수효율(NUpE)과 양의 방향으로 정렬되었으며, 반대로 Root/Total 비율, 질소 수확지수(NHI) 및 질소 이용효율(NUtE)은 음의 방향을 보였다. 이는 질소 흡수량이 많을수록 지상부의 바이오매스 축적이 촉진되며, 내적 질소 활용 및 동화 능력은 오히려 수량 증진과 상충할 수 있음을 시사한다. 또한, biplot에서 비료 종류(LC, OF, LC+OF) 및 관비 비율(100 : 0, 50 : 50, 30 : 70)에 따른 처리구 간 명확한 군집 분리는 나타나지 않았다. 이는 비료 조절 자체가 개별 형질에 미치는 영향이 제한적이거나, 복합적인 생리·환경적 요인과 상호작용하며 형질 반응이 다양하게 나타날 수 있음을 의미한다.

Fig. 6.
Principal component analysis (PCA) biplots representing treatments in two main principal components for traits measured. (A) Biplot colored by basal fertilizer (livestock compost [LC], LC+OF, organic fertilizer [OF]). (B) Same biplot colored by fertigation ratio (100 : 0, 50 : 50, 30 : 70). The vector’s direction and length indicate the traits’ contribution to the first two components in the PCA. DW, dry weight; NUpE, nitrogen uptake efficiency; NUtE, nitrogen utilization efficiency; NUE, nitrogen use efficiency; NHI, nitrogen harvest index.
Conclusion
노지 당근 관비재배에서 밑거름 종류와 비료 분시 비율(100 : 0, 50 : 50, 30 : 70)을 달리하여 질소 이용효율과 생산성을 분석한 결과, OF100:0, LC30:70, LC+OF30:70 처리구는 질소의 가용성, 질소의 흡수 및 이용효율, 건물생산량 관점에서 유의적으로 우수한 양분관리 방법으로 나타났다. 노지 당근의 수량은 질소, 인산 및 칼륨의 흡수량과 질소의 흡수 및 이용효율과 고도의 정의 상관관계를 보였다. OF100:0 처리구의 NUE와 경제적 수량은 LC, LC+OF100:0 대비 각각 27.5%, 13.4% 향상되었다. 또한 LC, LC+OF30:70 처리구는 각각 LC, LC+OF50:50 대비 39.1%, 45.7% 높아, 30 : 70 비율의 효과가 확인되었다. 결론적으로, 노지 당근의 관비 재배를 위한 부산물 비료의 밑거름 종류와 관비비율에 의한 차이는 크지 않았으나, 밑거름으로 유기질비료(OF), 관비비율은 30 (밑거름) : 70 (웃거름)이 가장 효과적인 방법으로 제시할 수 있다. 추후 연구는 관비효과를 구명하기 위하여 관행시비와의 비교가 필요하며, 단순한 분할 시비보다는 생육 후기의 질소 전이와 저장근 축적을 동시에 고려한 양분관리 방법론의 개선이 필요하다.



