Introduction
Materials and Methods
토양 조사 및 특성화
통계 분석
Results and Discussions
간척농지 토양의 물리적 특성 변화
간척농지 토양의 화학적 특성 변화
Conclusion
Introduction
농업부문은 4차 산업혁명 기술과 연계한 스마트 팜, 자율주행 트랙터, 드론 등의 기술 개발로 인해 작업의 편리성은 증진되었음에도 불구하고, 기후변화로 인한 토양 황폐화 등으로 작물 생산성이 끊임없이 위협받고 있다(Kim et al., 2024b; Park et al., 2024a; Kang et al., 2025). 작물 생산성은 재배방법, 기상조건, 품종, 토양 특성 등 다양한 요인에 의해 좌우되며, 그중 토양의 물리화학적 특성은 생산성 변동, 농업환경 유지, 그리고 안전한 먹거리 생산을 위해 지속적인 모니터링이 필요한 요인 중 하나이다(Kang et al., 2022b; Kong et al., 2024; Park et al., 2024b). 국내의 경우, 조사항목을 물리성, 화학성, 농업용수, 그리고 토양 미생물로 구분하여 농업환경변동조사를 4년 주기로 실시하고 있으며, 이는 1998년 친환경농업육성법 시행에 따라 1999년부터 시작되었다(Kang et al., 2022a; Kim et al., 2024a). 국외의 경우, 프랑스의 농업기구인 Institut National de la Recherche Agronomique (INRAE)에서는 10년 주기로 토양의 물리화학적 변동성을 모니터링하고 있으며, 미국과 일본은 각각 National Cooperative Soil Survey (NCSS)와 National Soil Survey Programs (NSSP)를 통해 다양한 토양 지표를 조사하고 있다(Kim et al., 2019; Kang et al., 2022b).
국내에 분포한 다양한 형태의 농경지 중 간척농지는 높은 모래함량으로 인해 입단 형성이 어려운 토양으로, 낮은 양분 및 유기물 함량 등으로 인해 작물 생산성이 일반 농경지의 10분의 1 수준으로 알려져 있다(Kang et al., 2024; Shin et al., 2024). 또한, 간척지는 지속적으로 해수가 유입됨에 따라 침수해 및 염해 발생이 빈번하며, 이는 간척농지에서의 작물 생산성을 감소시키는 원인으로 작용한다. 국내에 분포한 간척농지의 면적은 전체 경지면적의 약 7.1%를 차지하는 11만 2,464 ha로 조사되고 있으며, 최근 국내 곡물자급률 향상을 위해 간척농지는 밭 작물 재배를 요구받고 있다. 하지만, 간척농지 토양은 낮은 비옥도 및 높은 염분 함량으로 인해 밭 작물의 생산성 확보가 어려운 실정이다(Wijeysingha et al., 2023; Shin et al., 2024).
따라서, 본 연구는 국내에서 가장 큰 규모로 조성된 새만금 간척농지에서 토양 물리화학적 특성 조사를 실시하였으며, 이를 기반으로 국내 간척농지의 밭 작물 생산성 향상을 위한 기초자료를 확보하고자 하였다. 또한, 본 연구에서는 본 연구의 결과와 국내 농경지 토양의 적정 범위를 비교함으로써, 작물 생산성 향상을 위한 토양 개선 방향을 설정하고자 하였다.
Materials and Methods
토양 조사 및 특성화
본 연구는 전라북도특별자치도에 위치한 새만금 간척지 내 농생명용지 내 69지점에서 토양 조사를 실시하였으며, 시료 채취를 위해 새만금 간척농지 내 영역을 10 km 간격으로 구분하였다. 토양 시료는 0 - 70 cm 깊이의 토양을 10 cm 간격으로 총 7개 층위로 구분하여 채취를 진행하였다(Kang et al., 2023). 또한, 토양 특성에 따라 채취 방법을 다르게 적용하였으며, 물리성과 화학성 분석을 위해 각각 core sampler와 single gouge auger (Eijkelkamp, The Netherlands)를 이용하여 토양을 채취하였으며, 시료 채쥐 중 이물질(예, 폐비닐, 조개 껍데기, 식물 잔재물 등)은 모두 제거하여 외부 요인에 의한 토양 교란을 최소화하고자 하였다. 토양 시료를 채취한 지점은 Fig. 1에 지도 형태로 나타내었다. 물리성 분석을 위한 시료는 수분함량 변화를 최소화하기 위해, 알루미늄 호일과 지퍼백을 이용하여 밀봉한 후에 실험실로 운반하였다.
채취한 토양은 dry-oven (OF-12, Jeio Tech Co., Ltd., Korea)을 이용하여 용적밀도, 공극률, 그리고 수분함량을 포함하는 토양의 물리적 특성을 계산하였으며, 수분을 제거한 시료는 2 mm 이하로 체거름하여 화학적 특성 분석을 진행하였다. 토양 pH와 전기전도도(electrical conductivity, EC)는 1 : 5 (w·v-1) 법을 사용하여 분석하였으며, 교환성 양이온 4종(K+, Ca2+, Mg2+, and Na+)의 함량은 1 M ammonium acetate로 침출한 액을 유도결합 플라즈마 분광분석기(inductively coupled plasma-optical emission spectrometer, ICP-OES; iCAP Pro, Thermo Fisher Scientific Inc., USA)로 분석하였다.
통계 분석
본 연구는 각 항목 별 평균 값과 표준편차의 형태로 제시하였으며, 층위 및 항목 별 토양 특성의 유의차는 SPSS 소프트웨어(IBM, 2019)를 이용하여 분석하였다.
Results and Discussions
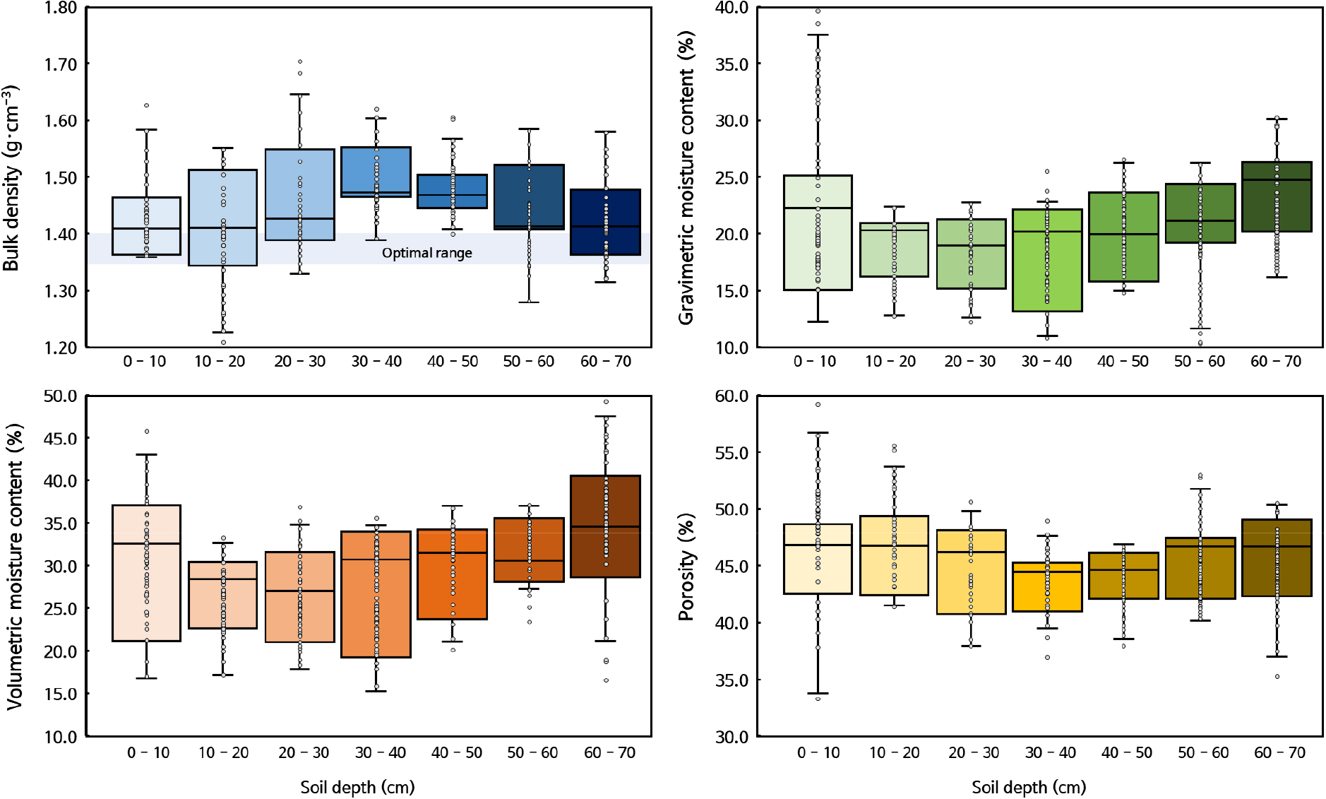
간척농지 토양의 물리적 특성 변화
간척농지 토양의 층위 별 물리적 특성을 분석한 결과는 Fig. 2에 나타내었다. 간척농지 토양의 용적밀도(bulk density)는 층위가 0 - 40 cm로 깊어짐에 따라 점차 증가하였으나, 40 cm 이후의 층위에서는 감소하는 경향을 나타내었다. 이에 따라, 토양 내 평균 용적밀도는 30 - 40 cm층위에서 1.50 g·cm-3 (최소 1.39 g·cm-3 - 최대 1.60 g·cm-3)로 가장 높았으며, 가장 낮은 용적밀도는 10 - 20 cm 층위에서 1.42 g·cm-3 (최소 1.15 g·cm-3 - 최대 1.76 g·cm-3)이었다. 토양 내 중량 수분함량의 경우, 층위가 40 cm까지 깊어짐에 따라 점차 감소하는 경향을 나타내어 30 - 40 cm 층위에서 18.31% (최소 12.62% - 최대 22.79%)로 가장 낮은 중량 수분함량을 나타내었다. 용적 수분함량도 유사한 경향을 나타내어 20 cm 층위에서 26.84% (최소 17.88% - 최대 34.76%)로 가장 낮은 값을 보인 이후에 점차 증가하는 경향을 나타내었다. 가장 높은 용적 수분함량을 보인 토양 층위는 60 - 70 cm (34.57%)이었다. 토양 용적밀도를 기반으로 계산되는 공극률은 50 cm 층위를 기준으로 상반된 경향을 나타내어 가장 높은 공극률은 46.47% (10 - 20 cm)이었으며, 가장 낮은 공극률은 30 - 40 cm 층위에서 43.37%로 분석되었다.
간척농지 토양의 물리적 특성과 층위 간의 상관관계를 분석한 결과는 Table 1에 나타내었다. 앞서 언급한 바와 같이, 토양 용적밀도(+0.074)와 공극률(-0.074)은 각각 40 cm와 50 cm 층위를 기준으로 상반된 경향을 나타내었으며, Pearson 상관계수는 매우 낮은 수준으로 조사되었다. 토양 내 수분함량도 특정 층위를 기준으로 상반된 경향을 나타내었으나, 용적밀도 및 공극률보다 높은 Pearson 상관계수(gravimetric moisture content, +0.176; volumetric moisture content, +0.214)를 나타내었다.
Table 1.
Statistical relationship between soil physical characteristics, including bulk density, moisture content, and porosity, and soil depths.
일반적으로, 밭 작물 재배를 위한 적정 용적밀도는 1.35 g·cm-3에서 1.40 g·cm-3 사이로 알려져 있으나, 높은 용적밀도에 의한 생육 피해는 대부분 1.60 g·cm-3 이상인 토양에서 보고되었다(Ren et al., 2021; Lee et al., 2023). 토양의 높은 용적밀도는 작물의 뿌리내림을 방해하여 생율을 저하시킬 수 있다(Lee et al., 2023). 본 연구에서 조사한 간척농지 토양의 평균 용적밀도는 0 - 30 cm 기준으로 1.44 g·cm-3이었으며, 이는 생육을 저하시키지 않는 수준으로 판단되었다. 하지만, 조사된 용적밀도 중 최댓값은 1.76 g·cm-3으로, 일부 용적밀도가 높은 토양에 대해서는 물리성 개선이 필요함을 시사한다. 토양 내 중량 혹은 용적 수분함량의 경우, 대부분의 토양에서 최소 5%에서 최대 50%의 범위를 갖는 것으로 알려져 있으며, 용적 수분함량을 기준으로 20 - 25% 수준에서 작물 생육이 원활한 것으로 보고되었다(Kang et al., 2022b). 본 연구에서 조사된 층위 별 평균 용적 수분함량은 26.86 - 34.57%의 범위를 나타내어 적정 기준보다 높았다. 하지만, 토양 수분함량은 토양 유형, 기상조건, 시료 채취 시기 등 다양한 환경요인에 의해 제어됨에 따라 작물 재배 시 주기적인 토양 수분을 모니터링하여 적정 수분함량을 유지시키는 것이 필요하다(Liang et al., 2021). 본 연구에서 조사된 간척농지 토양의 공극률은 적정 범위(35 - 60%) 내에 포함되어 토양 배수 및 통기 불량에 따른 작물 피해는 없을 것으로 판단되며, 일반적으로 배수 및 통기 불량에 따른 작물 피해 현상은 황화현상, 뿌리의 갈변 및 썩음, 발아 및 생육 불량, 갈색 반점 등이 유발된다고 보고되었다(Singh et al., 2022).
간척농지 토양의 화학적 특성 변화
층위에 따른 간척농지 토양의 pH 및 EC 변화는 Fig. 3에 나타내었다. 토양 pH는 토양 층위가 깊어짐에 따라 점차 증가하는 경향(y = 0.143 x + 6.174, R2 = 0.828)을 나타내었으며, 60 - 70 cm 층위에서 pH 7.06 (최소 pH 4.68 - 최대 pH 9.35)으로 가장 높게 조사되었다. 가장 낮은 pH는 0 - 10 cm의 pH 6.07 (최소 pH 4.59 - 최대 pH 7.92)이며, 이는 60 - 70 cm 층위의 pH 값보다 14% 낮은 수준이었다. 간척농지 토양의 EC 값도 층위가 깊어짐에 따라 점차 증가하는 경향(y = 0.086 x + 0.267, R2 = 0.995)을 나타내었으며, 층위가 10 cm 깊어질수록 토양 EC 값은 0.086 dS·m-1가 증가하였다. 토양 EC 값이 가장 높은 60 - 70 cm (0.87 dS·m-1; 최소 0.16 dS·m-1 - 최대 4.51 dS·m-1) 층위는 가장 낮은 0 - 10 cm (0.37 dS·m-1; 최소 0.14 dS·m-1 - 최대 1.94 dS·m-1)보다 2.35배 높은 수준이었으나, 모두 밭 작물 재배를 위한 적정 EC 기준(≤ 2.0 dS·m-1) 내에 포함되었다.
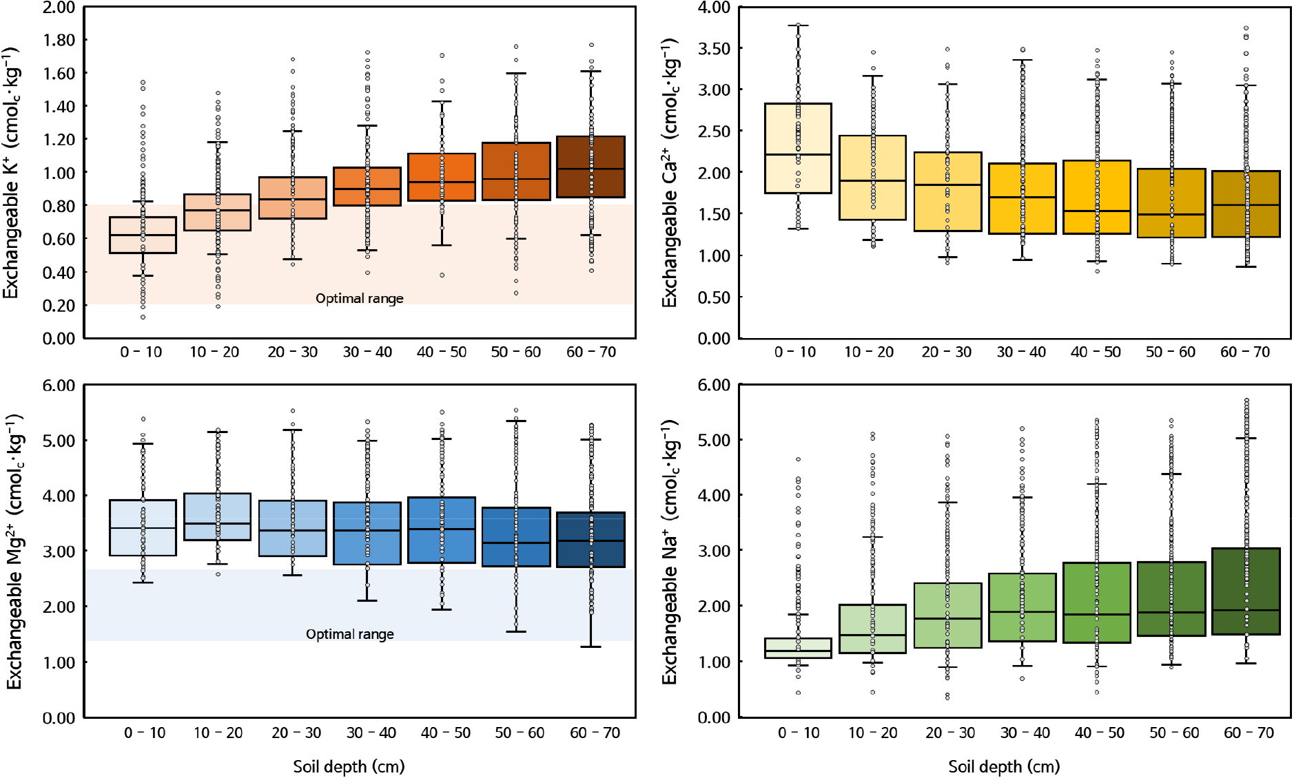
층위별 간척농지 토양 내 교환성 양이온 중 K+과 Na+ 함량은 Ca2+ 및 Mg2+ 함량과 상반된 경향을 나타내어 층위가 0 cm에서 70 cm로 깊어짐에 따라 점차 증가하는 반면, Ca2+과 Mg2+ 함량은 감소하는 경향을 나타내었다(Fig. 4). 토양 교환성 K+ 함량은 0 - 10 cm 층위에서 0.63 cmolc·kg-1 (최소 0.39 cmolc·kg-1 - 최대 1.18 cmolc·kg-1)으로 가장 높았으며, 토양 표면에 가까워질수록 로그 형태(y = 0.223 ln(x) + 0.617, R2 = 0.992)로 점차 증가하여 60 - 70 cm 층위에서 1.07 cmolc·kg-1 (최소 0.62 cmolc·kg-1 - 최대 2.25 cmolc·kg-1)로 가장 높았다. 반면, 교환성 Ca2+ 함량은 0 - 10 cm 층위에서 2.52 cmolc·kg-1 (최소 1.32 cmolc·kg-1 - 최대 5.52 cmolc·kg-1)으로 가장 높은 값을 나타내었으며, 토양 층위가 10 cm 깊어짐에 따라 Ca2+ 함량은 0.10 cmolc·kg-1이 감소하였다. 이와 유사하게, 교환성 Mg2+ 함량도 10 - 20 cm에서 3.66 cmolc·kg-1 (최소 2.42 cmolc·kg-1 - 최대 5.72 cmolc·kg-1)으로 가장 높았으며, 토양 층위가 깊어짐에 따라 점차 감소하여 60 -70 cm 층위에서 3.16 cmolc·kg-1 (최소 1.27 cmolc·kg-1 - 최대 5.01 cmolc·kg-1)으로 가장 낮은 값을 나타내었다. 교환성 Na+ 함량은 K+ 함량과 유사한 경향을 나타내어 층위가 깊어짐에 따라 직선의 형태(y = 0.152 x + 1.317, R2 = 0.933)로 증가하여 60 - 70 cm 층위에서 2.31 cmolc·kg-1 (최소 0.97 cmolc·kg-1 - 최대 5.84 cmolc·kg-1)으로 가장 높았다.
이러한 결과는 토양 층위와 간척농지 토양의 화학적 특성 간의 상관관계를 분석한 결과와 유사한 경향을 나타내어 토양 내 교환성 K+ 함량은 +0.540으로 가장 높은 양(+)의 상관계수를 나타내었다(Table 2). 교환성 K+ 함량과 유사한 경향을 나타낸 Na+ 함량(Pearson’s r = +0.349)의 경우도 토양 층위와 양의 상관관계를 나타내는 반면, 교환성 Ca2+ 및 Mg2+ 함량의 Pearson 결정계수는 각각 -0.227과 -0.172로 음(-)의 상관관계를 나타내었다.
Table 2.
Statistical relationship between soil chemical characteristics, including pH, electrical conductivity, and exchangeable cations, and soil depths.
국내에서는 생산성 높은 밭 작물 재배를 위해 교환성 K+, Ca2+, 그리고 Mg2+ 함량을 포함한 토양 화학적 특성의 적정 기준을 세워 농경지 토양을 관리하고 있다(Table 3). 본 연구에서 조사한 새만금 간척농지 토양의 평균 pH 및 EC는 0 - 30 cm에서 각각 pH 6.46과 0.44 dS·m-1로 적정 범위 내에 포함되어 밭 작물 재배에 적합할 것으로 판단된다. 하지만, 상자수염 그래프를 이용하여 값의 분포를 확인하였을 때, 토양 pH와 EC의 최댓값이 각각 pH 9.85과 2.55 dS·m-1으로 조사되어, 작물 생산성 확보를 위해서는 적정 범위 수준을 초과한 지점에 대한 화학성 개선이 필요함을 시사한다. 또한, 교환성 K+과 Mg2+ 함량은 모든 층위에서 적정 범위 이상으로 조사되었으며, 이는 토양 내 K+ 및 Mg2+ 과잉으로 인한 밭 작물 생육 저하를 초래할 수 있다. 일반적으로, K+ 및 Mg2+ 과잉으로 인한 작물의 피해 증상으로는 잎의 황화현상, 뿌리 산화 촉진, 과실 내 반점, 그리고 잎의 위축 등이 있다(Yu et al., 2017; Lee et al., 2024). 반면, 교환성 Ca2+ 함량의 경우, 적정 범위가 5.0 - 6.0 cmolc·kg-1임에 반해 가장 높은 평균 교환성 Ca2+ 함량은 0 - 10 cm에서 2.52 cmolc·kg-1이었으며, 이는 적정 수준의 약 50% 수준이었다. 이러한 토양 내 Ca2+ 부족은 작물의 팁번(tip-burn) 및 뿌리 발달 저해를 유도할 수 있으며, 이는 곧 작물 생산성 저하로 이어질 수 있다(Wang et al., 2024). 토양 내 Na+ 함량에 따른 옥수수 생육을 평가한 Lee 등(2016)에서는 토양 내 교환성 Na+ 함량이 1.30 cmolc·kg-1 이상일 때, 교환성 Na+ 함량이 증가함에 따라 작물 생산성이 감소한다고 보고하였다. 본 연구에서 새만금 간척농지 토양 내 교환성 Na+ 함량이 0.89 - 5.84 cmolc·kg-1의 범위로 조사되었으며, 이는 일부 특이지점에서 Na+ 과잉으로 인한 토양 구조 악화 및 생육 저하에 의한 피해를 유발할 수 있음을 시사한다(Dixit et al., 2024; Jeon et al., 2024).
Table 3.
Optimal agricultural soil chemical properties for improving crop productivity in Korea.
Conclusion
본 연구에서는 간척농지 토양의 밭 작물 생산성 향상을 위한 기초자료 확보를 목적으로 새만금 간척지 내 69지점에서 토양 조사를 실시하였으며, 토양의 물리화학적 특성 10종을 분석하였다. 토양 용적밀도와 수분함량은 토양 층위와 양(+)의 상관관계를 나타내어 깊이가 깊어짐에 따라 점차 증가하는 경향을 나타내는 반면, 토양 내 공극률은 점차 감소하는 경향을 나타내었다. 하지만, 본 연구에서 조사한 간척농지 토양 물리성은 밭 작물 재배를 위한 적정 기준을 모두 충족하여 물리성에 의한 밭 작물 생산성 감소는 없을 것으로 판단되나, 일부 특이지점에 대해서는 물리성 개선이 필요할 것으로 생각된다. 간척농지 토양의 층위별 화학적 특성의 경우, 교환성 Ca2+ 및 Mg2+ 함량을 제외한 다른 항목들은 층위가 깊어짐에 따라 점차 증가하는 경향을 나타내었으며, 가장 높은 교환성 Ca2+ 및 Mg2+ 함량은 각각 2.52 cmolc·kg-1 (0 - 10 cm)과 3.66 cmolc·kg-1 (10 - 20 cm)으로 조사되었다. 본 연구에서 조사한 결과와 밭 작물 재배를 위한 토양 적정 화학성 범위를 비교하였을 때, 토양 평균 pH와 EC는 모든 층위에서 적정 범위에 속하였으나, 교환성 양이온 함량은 적정 범위를 벗어나는 것으로 조사되었다. 특히, 교환성 K+ 및 Mg2+ 함량은 적정 범위인 0.5 - 0.8 cmolc·kg-1과 1.5 - 2.0 cmolc·kg-1보다 높은 수준인 반면, 교환성 Ca2+ 함량은 적정 범위의 절반 수준이었다. 따라서, 간척농지 내 밭 작물 생산성 향상을 위해서는 교환성 양이온을 포함한 토양 화학성 개선이 필요할 것으로 판단된다.






